حاصل جمع همه‌ی عددهای طبیعی نامتناهی نیست؟!

1+2+3+4+5+6+7+... = ?

حاصل جمع همه‌ی اعداد طبیعی  چند می‌شود؟ سوالی بدیهی به نظر می‌رسد. عبارت بالا یک سری واگرا به بی‌نهایت است. اما این عبارت در برخی مدل‌های فیزیک مدرن ظاهر می‌شود. حالا یا باید فرض را بر این گرفت که واقعا با یک پدیده‌ی «نامتنهایی» رو به رو هستیم، یا مدل‌ها نادرست هستند و یا این‌که می‌توان مقداری متناهی‌ برای سری بالا در نظر گرفت. در واقع برای جمع بالا می‌توان یک مقدار متنهایی یافت:

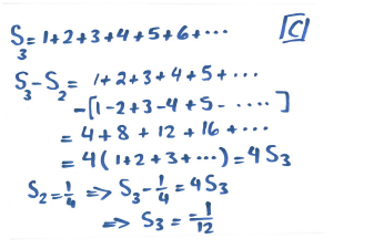
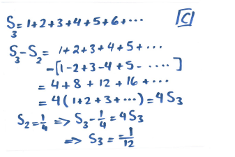
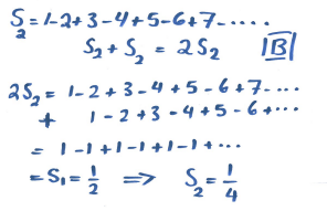
حاصل جمع مورد نظر (جمع کل عددهای طبیعی) را S3 می‌نامیم. برای محاسبه‌ی آن به دو جمع ساده‌تر نیاز داریم که آن‌ها را S1 و S2 می‌نامیم. این اثبات به این صورت است:

bamdadi-all-natural-numbers-1of3بسته به این که تعداد فرد باشد یا زوج مقدار جمع صفر یا یک می‌شود. پس میانگین آن را در نظر می‌گیریم، یعنی \frac{1}{2} .

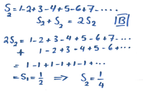
حالا سراغ S2 می‌رویم:bamdadi-all-natural-numbers-2of3حالا عبارت S3-S2 را می‌نویسم که منجر به محاسبه‌ی S3 می‌شود:

bamdadi-all-natural-numbers-3of3حاصل سری واگرا به بی‌نهایت جمع همه‌ی اعداد طبیعی -\frac{1}{12} می‌شود! اما چطور چنین چیزی ممکن است؟ چگونه می‌شود سری‌ بالا که همه‌ی خرده‌ جمع‌های آن صعودی و طبیعی هستند در بی‌نهایت به یک عدد منفی همگرا شود؟! من هم مثل شما اول به راه حل بالا ایراد گرفتم و به نظرم رسید که برخی پیش‌فرض‌های اساسی در کار با سری‌های نامتنهایی را نادیده گرفته است. اما راه حال بالا اصول اولیه‌ی رفتار با سری‌های واگرا را زیر پا نمی‌گذارد. اما چطور چنین چیزی ممکن است؟

یک راه فرار از این مخمصه منطقی این است که علامت «مساوی» یا «همگرایی» را حذف کنیم و مدعی شویم که  -\frac{1}{12} یک نام یا یک برچسب برای سری مذکور است. همان‌طور که قبلا هم ذکر کردم، وقتی صحبت از «فیزیک» و پدیده‌های قابل اندازه‌گیری یا قابل مشاهده می‌شود اطلاق «نامتناهی» به پدیده‌ها جسارت بسیار زیادی می‌خواهد، در نتیجه شاید منهای یک دوازدهم آن‌قدرها هم عدد عجیبی نباشد!

It’s by no means obvious, but this is the only sensible value one can attach to this divergent sum. Infinity is not a sensible value. In my opinion, as a physicist, infinity has no place in physical observables, and therefore no place in Nature. David Hilbert, one of the founding fathers of quantum mechanics, described infinity as “a mathematical abstraction that does not have a physical content.” I think most physicists would firmly agree with this sentiment. The trouble is that divergent sums like the one we discuss in the video do appear in calculations of physical observables, such as the Casimir energy, or in the dimensionality of the Universe in bosonic string theory. Therefore, only a very brave individual would dream of attaching the value infinity to sums like this. Minus a twelfth is far less crazy a value when you start talking about physics.{+}

 

در مورد این سری و حاصل متناهی آن می‌توانید این‌جا یا این‌جا بیشتر بخوانید یا اگر ترجیح می‌دهید تماشا کنید.


با توجه به فیلتر بودن بامدادی در ایران، لطفا مطالب آن‌را از طریق اشتراک در خوراک آن پی‌گیری کنید. استفاده از مطالب و عکس‌های منتشر شده در وبلاگ‌ها و فوتوبلاگ‌های من به شرط «نقل قول دقیق»، «ذکر ماخذ» و «ارجاع لینک به اصل پست» بلا مانع است. در ضمن جهت گفتگو و تبادل نظر، شما را به حضور و مشارکت در گوگل‌پلاس دعوت می‌کنم.

 

4 نظر برای “حاصل جمع همه‌ی عددهای طبیعی نامتناهی نیست؟!

    • شیوه‌ی نوشتن یا توضیح دادن‌شون ایراد داره. در همان لینکی که نوشتید هم اشاره شده که اگر به جای علامت مساوی از عنوان اطلاق یک برچسب عددی به کل سری استفاده می‌شد ایرادی نداشت. در ضمن متنی که اشاره کردید متن خوبی نیست. او به حماقت راوی فیلم در یوتیوب اشاره می‌کند، اما در واقع فیلم فقط یک بیان ساده (و شاید نادقیق) از موضوعی مفصل‌تر است.

      در کامنت‌ها آمده:

      Physicists perform thousands of calculations like 1+2+3+4+…=-1/12 every day. The vast majority of them are way too esoteric to explain in any layman fashion. This sum, which goes back to Euler, is one of the few exceptions, perhaps the only one. Even more fascinating is that it actually shows up at the ground floor of string theory. Here’s another reference: Green, Schwarz, Witten Superstring Theory Volume I (Cambridge 1987) p. 96.

      لایک

  1. اثبات کاملا غلط است. اگر بخواهیم اثبات این آقا رو قبول کنیم به نتیجه زیر هم میرسیم:
    1+2+3+…=-1/12
    به طرفین ۰ را اضافه میکنیم:
    0+1+2+3+…=-1/12
    سری اول را از سری دوم کم میکنیم:
    1+1+1+…=0
    دوباره یک ۰ اضافه میکنیم:
    0+1+1+1+…=0
    دو سری را از هم کم میکنیم
    1+0+0=0
    نتیجه:
    0=1
    که مشخصا اشتباه است!
    اولین اشتباه همان فرض کردن همگرایی سری 1,-1,… به 1/2 است. با تعریف حد دنباله این دنباله واگرا است. ایشون آمده و دنباله را با دنباله میانگین(Cesàro summation) آن یکی فرض کرده و تناقضاتی را نتیجه گرفته! من منظور شما را از دادن برچسب عددی به سری متوجه نمیشم ولی نتیجه این برچسب زدن اثبات ۰=۱ است.
    من نمیدونم کامنت هایی مانند این که فیزیکدان ها هر روز هزاران محاسبات مانند این را انجام میدهند یا برای اثبات نظریه رشته ها نیاز به جمع زدن تمام اعداد طبیعی است و … را چه کسانی می نویسند و آیا خودشان فیزیکدان هستند یا خیر، ولی مشخصا اگر برای اثبات نظریه ای نیاز به محاسبات بالا و نتیجه گیری ۰=۱ باشد نظریه به کل باطل است.
    من به دنبال کتابی که در ویدئو نمایش داده شد میگردم تا ببینم در آن چه چیزی درباره این موضوع نوشته شده، و بسیار بعید میدونم که در آن جمع به صورت طبیعی تعریف شده باشد.

    لایک

    • شاید روش توضیحی این دوست ما دقیق نباشد. اما اصل قضیه زیر سوال نمی رود.
      مثلا در این صفحه به
      https://en.wikipedia.org/wiki/1_%2B_2_%2B_3_%2B_4_%2B_%E2%8B%AF
      قسمتی که زتای منهای یک (که عملا همین سری است) را محاسبه می کند توجه کنید.
      ……………..
      در ضمن یک نکته‌ی مهم در همان صفحه‌ای که لینک دادم هست که این جا پیست می کنم.

      نوشته روش‌های جمع کردنی که پایداری و خطی بودن سری‌ها را فرض می‌گیرند (مثلا فرض می‌گیرند که x+0=x که فرض پایداری است، و فرض می گیرند که x-x=0 که فرض خطی بودن است) نمی توانند جمع بالا را محاسبه کنند و همین مثال شما را می زند:

      Failure of stable linear summation methods
      A summation method that is linear and stable cannot sum the series 1 + 2 + 3 + … to any finite value. (Stable means that adding a term to the beginning of the series increases the sum by the same amount.) This can be seen as follows. If
      1 + 2 + 3 + …=x
      then adding 0 to both sides gives
      0 +1 + 2 + … = 0 + x = x by stability
      Subtracting gives
      1 + 1 + 1 + … = x – x = 0 by linearity
      Adding 0 to both sides again gives
      0 + 1 + 1 + 1 +… = 0
      and subtracting the last two series gives
      1 + 0 + 0 + … =0
      contradicting stability.
      The methods used above to sum 1 + 2 + 3 + … are either not stable or not linear. For example, there are two different methods called zeta function regularization. The first is stable but not linear, and defines the sum a+b+c+…of a set of numbers to be the value of the analytic continuation of 1/as +1/bs +1/cs + at s=–1 if this exists. The second is linear but not stable, and defines the sum a+b+c+…of a sequence of numbers to be the value of the analytic continuation of a/1s +b/2s +c/3s + at s=0 if this exists. Both methods give 1+2+3+… the sum ζ(–1)=–1/12

      لایک

من همه‌ی کامنت‌های وارده را می‌خوانم. اما ‌لطفا توجه داشته باشید که بنا به برخی ملاحظات شخصی از انتشار و پاسخ دادن به کامنت‌‌هایی که (۱) ادبیات تند، گستاخانه یا بی‌ادبانه داشته باشند، یا (۲) در ارتباط مستقیم با موضوع پستی که ذیل آن نوشته شده‌اند نباشند و یا (۳) به وضوح با نشانی ای‌میل جعلی نوشته شده باشند معذور هستم. در صورتی که مطلبی دارید که دوست دارید با من در میان بگذارید، از صفحه‌ی تماس استفاده کنید. با تشکر از توجه شما به بامدادی.